0-1背包的最优解DP解法(C语言)
1. 问题描述
定义
背包问题(来自于百度百科)
有N件物品和一个容量为V的背包。第i件物品的重量是w[i],价值是v[i]。求解将哪些物品装入背包可使这些物品的重量总和不超过背包容量,且价值总和最大。
分析
- 我们要获取这个问题的最优解, 也就是最佳的价值
- 可以使用贪婪算法对其进行一个遍历
- 在遍历时, 每当遇到一个物品的时候, 可分为装这个东西, 还是不装这个东西.
- 遍历时, 我们可以将这个问题产生的结果构成一颗二叉树, 因为每当遇到一个物品的时候,我们总是能将其分解成, 装这个物品, 还是不装这个物品.
- 当我们遍历完成后, 所产生的最优解一定是最后的叶子结点中的一个.
2. 计算方法
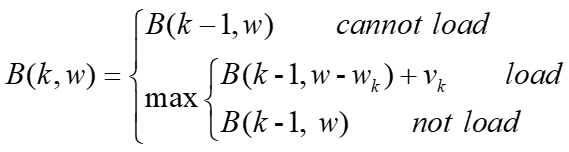
DP计算公式

- 对上述公式的说明
- B(k, w) 表示的是我们的背包问题的最优解, 其中k, 表示第k个物品, w表示背包里面还能装的下的重量.
- B(k - 1, w - wk) + vk 的意思就是, 如果装的话, 将这个第k个物品的重量(wk) 装上, 加上这个物品的一个价值, 此时背包中还能装下的质量为w - wk
- 如果不装的话, 此时背包里面就剩余w个重量
- 对上述公式的说明
最优解的表格, 我们以下面这个例子来说明
重量 2 3 4 5 9 价值 3 4 5 8 10 编号 1 2 3 4 5 背包容量 20 对于以上这个例子, 我们可以得到下面这个表格

- 对于以上这个表格
- 其中行表示的是物品的编号, 列表示的是背包所占有的容量
- 每一个格子中的数字表示最大的数字, 就是我们的最优解
- 比如行为3, 列为5的时候, 格子中表示的数字就是, 只占用5个背包容量, 只装前三个物品, 能够得到的最大的价值
- 那么对于整一个问题的最优解就是我们在所有的物品里面做出选择, 利用所有的背包容量来装, 得到的最大的价值, 就是表格的最右下角的那个格子的值
- 对于以上这个表格
下面我们就用代码来求解一下上述的例子
3. 代码
下面使用c语言实现一下
1 |
|
4. 总结
- 以上代码虽然能够求得一个最优解, 最大值, 但是我们并不能直观的展示具体装了那个物品.
- 这个方法, 使用了一个一个遍历, 对于每一个物品以及每一个容量都进行了遍历迭代, 复杂度较高
- 会再继续学习, 取得更好的解法
本博客所有文章除特别声明外,均采用 CC BY-NC-SA 4.0 许可协议。转载请注明来自 Lutong99!
评论


